Personal
Personal
View All
Real estate
Real estate
View All
Business
Business
View All
Login
Sign Up
Log in
Create
Last will and testament
Modern slavery statement
Stock transfer form
Funeral plan
Declaration of trust
Disciplinary procedure
Health and safety policy
Grievance procedure
Whistleblowing policy
Flexible working request
Business continuity plan
Cease and desist letter
Eviction notice
Living will
Power of attorney
Invoice template
Resignation letter
Self certification form
Tenancy agreement
Section 21
Business plan
Affidavit
Deed of variation
Fire risk assessment
Section 8 notice
Privacy policy
Reference letter
Codicil
Safeguarding policy
Home
/
All documents
Create your legal document quick and easy
All
Personal
Real estate
Business
Serious rent arrears eviction notice for wales (introductory standard contract or prohibited conduct standard contract)
Serious rent arrears eviction notice for wales (standard contract)
Section 173 notice for Wales
Tenant's agreement to exclude security of tenure
Last will and testament for Scotland
Landlord's notice to exclude security of tenure
Notice of breach of covenants
Lodger agreement for Scotland
Event space rental agreement
Occupation contract for a room for Wales
Occupation contract for a flat for Wales
Babysitting instructions
Energy debt repayment plan
Letter proposing payment in instalments
Letter accepting payment in instalments
Communication and Equipment Policy
Employee vaccination policy
Working time directive opt out letter
Change to employment terms letter
Invitation to a redundancy appeal meeting
Email footer and disclaimer
Contract variation addendum or amendment
Second debt recovery letter
Photography services agreement
Redundancy consultation meeting letter
Senior employment contract
Wedding planner agreement
Letter assigning a contract
Letter ending a contract
Office sharing agreement
Intellectual Property Rights Assignment
Sale of goods Agreement
Rent repayment plan
Car parking licence
Initial holding deposit
Legitimate Interests Assessment
Force majeure contract termination notice
Model release letter
Notice to sever joint tenancy (mutual)
Jury service policy
Volunteer role description
Anti harassment and bullying policy
Notice to sever joint tenancy (unilateral)
Subcontacting agreement
Probation letter
AI Terms of Service
Trademark licence agreement
Home office rental agreement
Finder fee agreement
Sales agency agreement
GDPR documents
Rent demand letter
Licence to sublet
Data erasure request
Suspension letter
Dismissal letter for misconduct
Time off for dependants policy
Finders fee agreement
Childcare contract
Statutory declaration of name change
Invitation to appeal hearing
Paternity policy
Adoption leave policy
Catering contract
Affiliate agreement
Debt recovery letter
Revocation of power of attorney
Internship agreement
Influencer contract
Change of address letter
Bereavement leave policy
Services agreement
Bid proposal
Break notice
Academic reference letter
Gross misconduct dismissal letter
Sublease agreement
Disciplinary letter
Return to work risk assessment
Vehicle bill of sale
Disciplinary outcome letter
Constructive dismissal letter
At risk of redundancy letter
Business purchase agreement
Gross misconduct dismissal letter
Volunteer agreement
Founders agreement
Sublease agreement
Parental leave policy
Shared parental leave policy
Employee privacy notice
Distribution agreement
LLP agreement
Advance subscription agreement
Property inspection report
Terms and Conditions (rental platform)
Terms and Conditions (rental platform)
Party wall notice (Excavation and Line of Junction Notice)
Party wall notice (Notice of Adjacent)
Data subject access request
Codicil to gift to charity
Lottery syndicate agreement
Working from home policy
Redundancy policy
Maternity policy
Collaboration agreement
Cleaning contract
Website terms and conditions
Shareholder resolution
Licence to assign
Rent deposit deed
Consultancy agreement
Annual leave policy
Appeal letter
Cookies policy
Asset purchase agreement
Board minutes
Parental responsibility agreement
Expense policy
Status determination statement
Dismissal letter
Recruitment policy
Menopause policy
Hybrid working policy
AI policy
Engagement letter
Rent receipt
Room rental agreement
Data processing agreement
Bill of sale
Anti bribery and corruption policy
Returns policy
Data retention policy
Postnuptial agreement
Sickness policy
Flexible working policy
Equal opportunities policy
Share purchase agreement
Information security policy
Partnership agreement
Commercial lease
Child travel consent form
Share certificate
Term sheet
Loan agreement
Environmental policy
Novation agreement
Social media policy
Separation agreement
Landlord reference letter
Party wall notice
Grievance letter
Lone working policy
Shareholders agreement
Job offer letter
Heads of terms
Statement of work
Employee handbook
Last will and testament
Modern slavery statement
Purchase order template
Stock transfer form
Rent increase notice
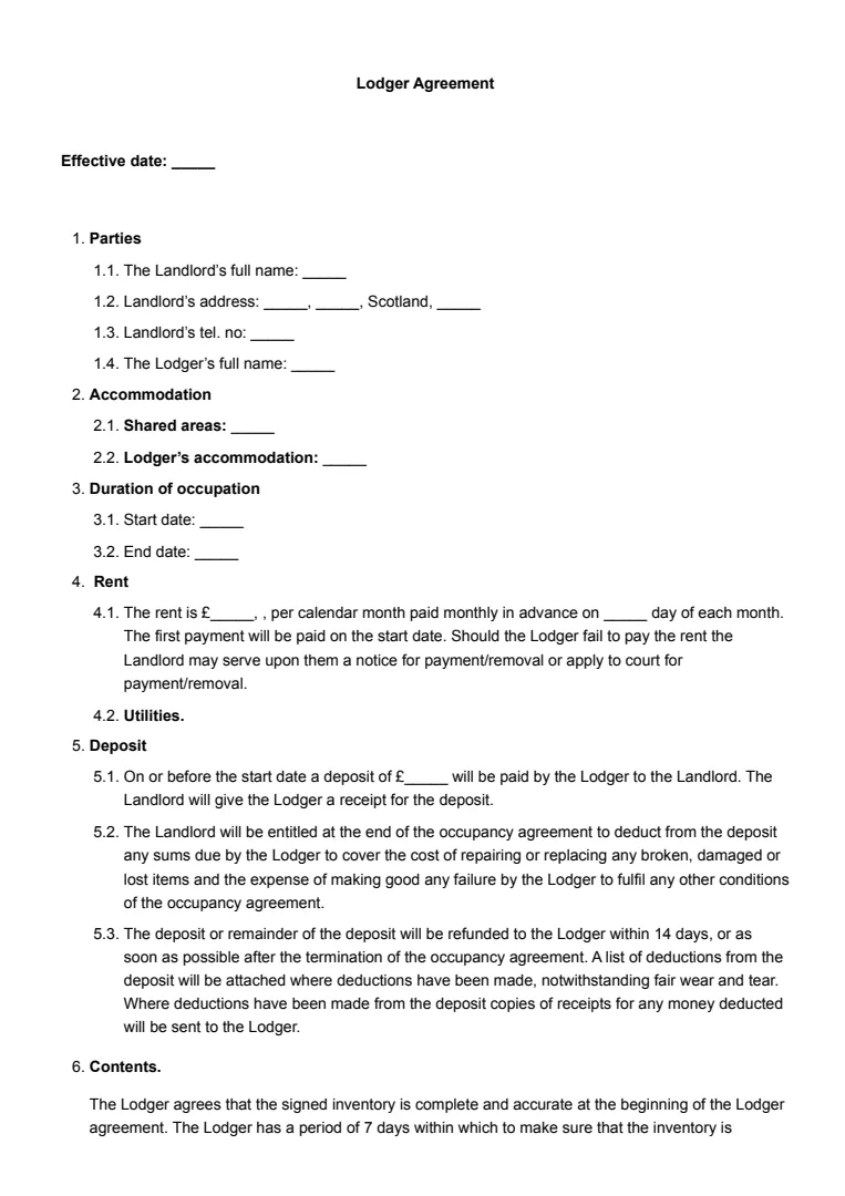
Lodger agreement
Promissory note
Birth plan
Funeral plan
Employment contract
Letter of intent
Prenuptial agreement
Letter before action
Non disclosure agreement
Cohabitation agreement
Articles of association
Zero hours contract
Settlement agreement
Declaration of trust
Terms and conditions
Disciplinary procedure
Health and safety policy
Grievance procedure
Whistleblowing policy
Flexible working request
Business continuity plan
Cease and desist letter
Eviction notice
Living will
Power of attorney
Invoice template
Resignation letter
Self certification form
Tenancy agreement
Section 21
Rental property inventory
Business plan
Affidavit
Deed of variation
Fire risk assessment
Section 8 notice
Privacy policy
Reference letter
Codicil
Safeguarding policy
No items found.
No documents found for this query
Close Preview
Document Popup Title
This is a preview example. The final document will be tailored to your needs based on the information you provide in the next steps.
Create this document